sign up
sign up
sign up
sign up
pull down to refresh
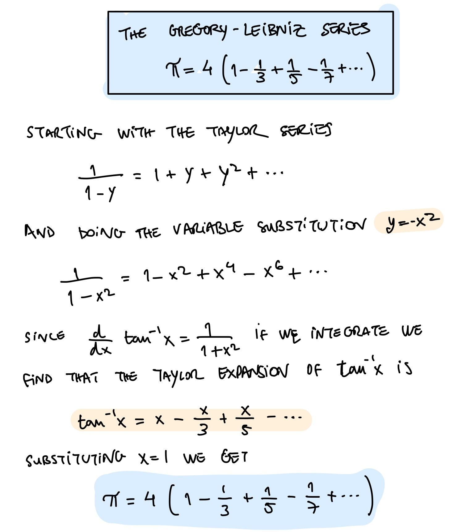
A 1-page proof of the Gregory-Leibniz Series
137 sats
\
0 comments
\
@ScienceExplorist
28 Dec 2023
Education
https://m.stacker.news/9817
write
preview
put your money where your mouth is
reply
10 sats
related posts
view all related items